电脑桌面
添加内谋知识网--内谋文库,文书,范文下载到电脑桌面
安装后可以在桌面快捷访问

2020年四川高考文科数学试卷(word版)和答案.doc

2020年四川高考文科数学试卷(word版)和答案.doc_第1页
1/19
2020年四川高考文科数学试卷(word版)和答案.doc_第2页
2/19
2020年四川高考文科数学试卷(word版)和答案.doc_第3页
3/19
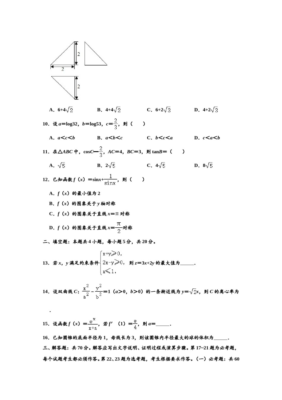
2020年全国统一高考数学试卷(文科)(新课标Ⅲ)一、选择题(共12小题).1.已知集合A={1,2,3,5,7,11},B={x3<x<15},则A∩B中元素的个数为()A.2B.3C.4D.52.若(1+i)=1﹣i,则z=()A.1﹣iB.1+iC.﹣iD.i3.设一组样本数据x1,x2,…,xn的方差为0.01,则数据10x1,10x2,…,10xn的方差为()A.0.01B.0.1C.1D.104.Logistic模型是常用数学模型之一,可应用于流行病学领域.有学者根据公布数据建立了某地区新冠肺炎累计确诊病例数I(t)(t的单位:天)的Logistic模型:I(t)=,其中K为最大确诊病例数.当I(t)=0.95K时,标志着已初步遏制疫情,则t约为()(ln19≈3)A.60B.63C.66D.695.已知sinθ+sin()=1,则sin()=()A.B.C.D.6.在平面内,A,B是两个定点,C是动点.若=1,则点C的轨迹为()A.圆B.椭圆C.抛物线D.直线7.设O为坐标原点,直线x=2与抛物线C:y2=2px(p>0)交于D,E两点,若OD⊥OE,则C的焦点坐标为()A.(,0)B.(,0)C.(1,0)D.(2,0)8.点(0,﹣1)到直线y=k(x+1)距离的最大值为()A.1B.C.D.29.如图为某几何体的三视图,则该几何体的表面积是()A.6+4B.4+4C.6+2D.4+210.设a=log32,b=log53,c=,则()A.a<c<bB.a<b<cC.b<c<aD.c<a<b11.在△ABC中,cosC═,AC=4,BC=3,则tanB=()A.B.2C.4D.812.已知函数f(x)=sinx+,则()A.f(x)的最小值为2B.f(x)的图象关于y轴对称C.f(x)的图象关于直线x=π对称D.f(x)的图象关于直线x=对称二、填空题:本题共4小题,每小题5分,共20分。13.若x,y满足约束条件则z=3x+2y的最大值为.14.设双曲线C:﹣=1(a>0,b>0)的一条渐近线为y=x,则C的离心率为.15.设函数f(x)=,若f′(1)=,则a=.16.已知圆锥的底面半径为1,母线长为3,则该圆锥内半径最大的球的体积为.三、解答题:共70分。解答应写出文字说明、证明过程或演算步骤。第17~21题为必考题,每个试题考生都必须作答。第22、23题为选考题,考生根据要求作答。(一)必考题:共60分。17.设等比数列{an}满足a1+a2=4,a3﹣a1=8.(1)求{an}的通项公式;(2)记Sn为数列{log3an}的前n项和.若Sm+Sm+1═Sm+3,求m.18.某学生兴趣小组随机调查了某市100天中每天的空气质量等级和当天到某公园锻炼的人次,整理数据得到下表(单位:天):锻炼人次[0,200](200,400](400,600]空气质量等级1(优)216252(良)510123(轻度污染)6784(中度污染)720(1)分别估计该市一天的空气质量等级为1,2,3,4的概率;(2)求一天中到该公园锻炼的平均人次的估计值(同一组中的数据用该组区间的中点值为代表);(3)若某天的空气质量等级为1或2,则称这天“空气质量好”;若某天的空气质量等级为3或4,则称这天“空气质量不好”.根据所给数据,完成下面的2×2列联表,并根据列联表,判断是否有95%的把握认为一天中到该公园锻炼的人次与该市当天的空气质量有关?人次≤400人次>400空气质量好空气质量不好附:K2=P(K2≥k)0.0500.0100.001k3.8416.63510.82819.如图,在长方体ABCD﹣A1B1C1D1中,点E,F分别在棱DD1,BB1上,且2DE=ED1,BF=2FB1.证明:(1)当AB=BC时,EF⊥AC;(2)点C1在平面AEF内.20.已知函数f(x)=x3﹣kx+k2.(1)讨论f(x)的单调性;(2)若f(x)有三个零点,求k的取值范围.21.已知椭圆C:+=1(0<m<5)的离心率为,A,B分别为C的左、右顶点.(1)求C的方程;(2)若点P在C上,点Q在直线x=6上,且BP=BQ,BP⊥BQ,求△APQ的面积.(二)选考题:共10分。请考生在第22、23题中任选一题作答。如果多做,则按所做的第一题计分。[选修4-4:坐标系与参数方程]22.在直角坐标系xOy中,曲线C的参数方程为(t为参数且t≠1),C与坐标轴交于A,B两点.(1)求AB;(2)以坐标原点为极点,x轴正半轴为极轴建立极坐标系,求直线AB的极坐标方程.[选修4-5:不等式选讲]23.设a,b,c∈R,a+b+c=0,abc=1.(1)证明:ab+bc+ca<0;(2)用max{a,b,c}表示a,b,c的最大值,证明:max{a,b,c}≥.参考...

1、当您付费下载文档后,您只拥有了使用权限,并不意味着购买了版权,文档只能用于自身使用,不得用于其他商业用途(如 [转卖]进行直接盈利或[编辑后售卖]进行间接盈利)。
2、本站所有内容均由合作方或网友上传,本站不对文档的完整性、权威性及其观点立场正确性做任何保证或承诺!文档内容仅供研究参考,付费前请自行鉴别。
3、如文档内容存在违规,或者侵犯商业秘密、侵犯著作权等,请点击“违规举报”。

碎片内容

2020年四川高考文科数学试卷(word版)和答案.doc

确认删除?