电脑桌面
添加内谋知识网--内谋文库,文书,范文下载到电脑桌面
安装后可以在桌面快捷访问

黑龙江省牡丹江管理局北斗星协会达标名校2024年中考一模数学试题含解析.doc

黑龙江省牡丹江管理局北斗星协会达标名校2024年中考一模数学试题含解析.doc_第1页
1/26
黑龙江省牡丹江管理局北斗星协会达标名校2024年中考一模数学试题含解析.doc_第2页
2/26
黑龙江省牡丹江管理局北斗星协会达标名校2024年中考一模数学试题含解析.doc_第3页
3/26
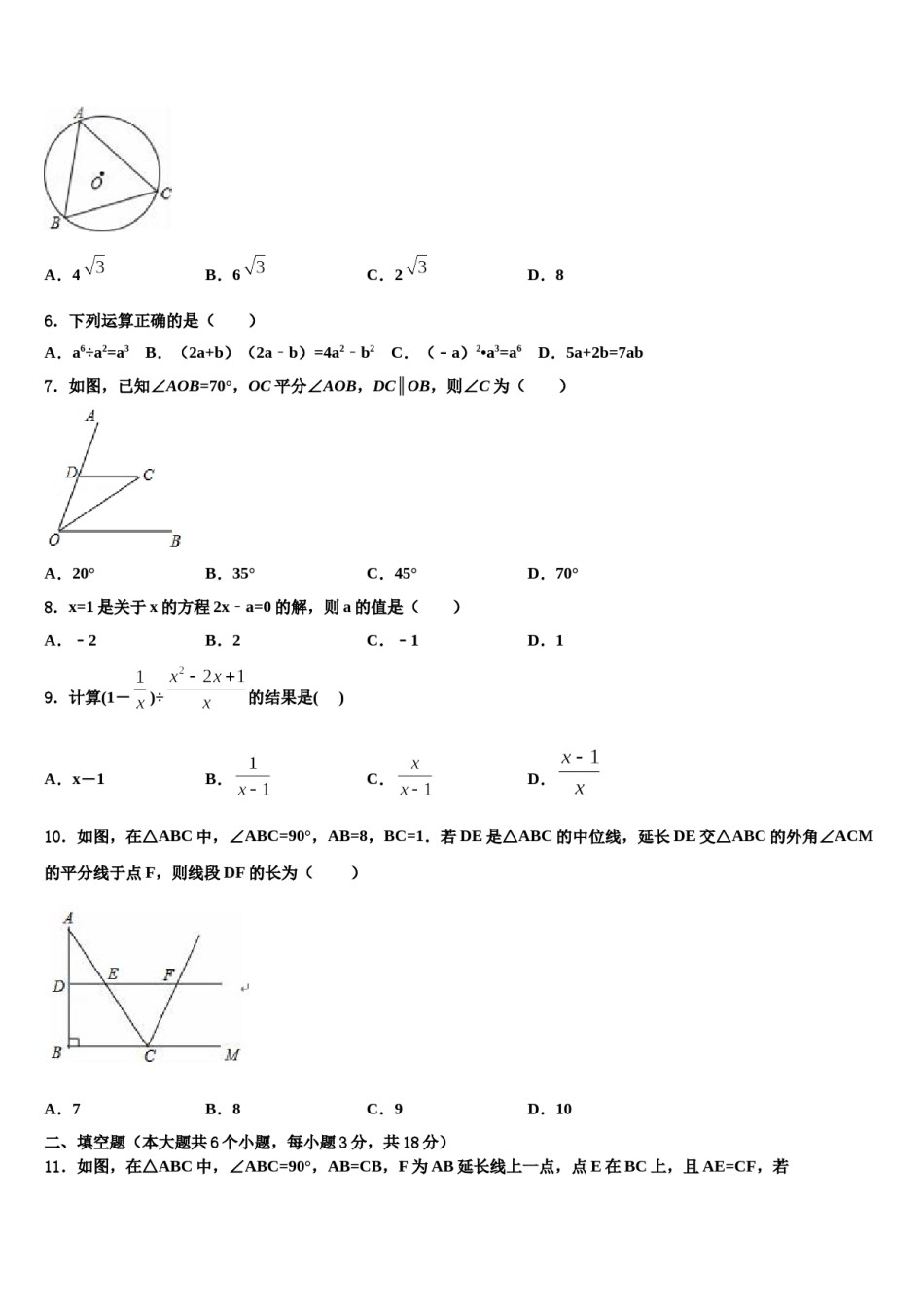
黑龙江省牡丹江管理局北斗星协会达标名校2024年中考一模数学试题注意事项:1.答卷前,考生务必将自己的姓名、准考证号、考场号和座位号填写在试题卷和答题卡上。用2B铅笔将试卷类型(B)填涂在答题卡相应位置上。将条形码粘贴在答题卡右上角"条形码粘贴处"。2.作答选择题时,选出每小题答案后,用2B铅笔把答题卡上对应题目选项的答案信息点涂黑;如需改动,用橡皮擦干净后,再选涂其他答案。答案不能答在试题卷上。3.非选择题必须用黑色字迹的钢笔或签字笔作答,答案必须写在答题卡各题目指定区域内相应位置上;如需改动,先划掉原来的答案,然后再写上新答案;不准使用铅笔和涂改液。不按以上要求作答无效。4.考生必须保证答题卡的整洁。考试结束后,请将本试卷和答题卡一并交回。一、选择题(共10小题,每小题3分,共30分)1.如图,在矩形ABCD中,AD=AB,∠BAD的平分线交BC于点E,DH⊥AE于点H,连接BH并延长交CD于点F,连接DE交BF于点O,下列结论:①∠AED=∠CED;②OE=OD;③BH=HF;④BC﹣CF=2HE;⑤AB=HF,其中正确的有()A.2个B.3个C.4个D.5个2.下列计算正确的是()B.2x2﹣3x2=﹣1A.2x2+3x2=5x4D.2x2•3x2=6x4C.2x2÷3x2=x23.若,代数式的值是A.0B.C.2D.4.计算(﹣3)﹣(﹣6)的结果等于()A.3B.﹣3C.9D.185.如图,⊙O是△ABC的外接圆,∠B=60°,⊙O的半径为4,则AC的长等于()A.4B.6C.2D.86.下列运算正确的是()A.a6÷a2=a3B.(2a+b)(2a﹣b)=4a2﹣b2C.(﹣a)2•a3=a6D.5a+2b=7ab7.如图,已知∠AOB=70°,OC平分∠AOB,DC∥OB,则∠C为()A.20°B.35°C.45°D.70°D.18.x=1是关于x的方程2x﹣a=0的解,则a的值是()A.﹣2B.2C.﹣19.计算(1-)÷的结果是()A.x-1B.C.D.10.如图,在△ABC中,∠ABC=90°,AB=8,BC=1.若DE是△ABC的中位线,延长DE交△ABC的外角∠ACM的平分线于点F,则线段DF的长为()A.7B.8C.9D.10二、填空题(本大题共6个小题,每小题3分,共18分)11.如图,在△ABC中,∠ABC=90°,AB=CB,F为AB延长线上一点,点E在BC上,且AE=CF,若∠CAE=32°,则∠ACF的度数为__________°.12.如图,平行四边形ABCD中,AB=AC=4,AB⊥AC,O是对角线的交点,若⊙O过A、C两点,则图中阴影部分的面积之和为_____.13.如图,直线l1∥l2∥l3,等边△ABC的顶点B、C分别在直线l2、l3上,若边BC与直线l3的夹角∠1=25°,则边AB与直线l1的夹角∠2=________.14.分解因式___________15.如图,正方形ABCD的边长为2,分别以A、D为圆心,2为半径画弧BD、AC,则图中阴影部分的面积为_____.16.如图,已知直线y=x+4与双曲线y=(x<0)相交于A、B两点,与x轴、y轴分别相交于D、C两点,若AB=2,则k=_____.三、解答题(共8题,共72分)17.(8分)关于x的一元二次方程ax2+bx+1=1.(1)当b=a+2时,利用根的判别式判断方程根的情况;(2)若方程有两个相等的实数根,写出一组满足条件的a,b的值,并求此时方程的根.18.(8分)直角三角形ABC中,,D是斜边BC上一点,且,过点C作,交AD的延长线于点E,交AB延长线于点F.求证:;若,,过点B作于点G,连接依题意补全图形,并求四边形ABGD的面积.19.(8分)在平面直角坐标系中,△ABC的三个顶点坐标分别为A(2,﹣4),B(3,﹣2),C(6,﹣3).画出△ABC关于轴对称的△A1B1C1;以M点为位似中心,在网格中画出△A1B1C1的位似图形△A2B2C2,使△A2B2C2与△A1B1C1的相似比为2:1.20.(8分)如图1,在等腰△ABC中,AB=AC,点D,E分别为BC,AB的中点,连接AD.在线段AD上任取一点P,连接PB,PE.若BC=4,AD=6,设PD=x(当点P与点D重合时,x的值为0),PB+PE=y.小明根据学习函数的经验,对函数y随自变量x的变化而变化的规律进行了探究.下面是小明的探究过程,请补充完整:(1)通过取点、画图、计算,得到了x与y的几组值,如下表:x0123456y5.24.24.65.97.69.5说明:补全表格时,相关数值保留一位小数.(参考数据:≈1.414,≈1.732,≈2.236)(2)建立平面直角坐标系(图2),描出以补全后的表中各对对应值为坐标的点,画出该函数的图象;(3)求函数y的最小...

1、当您付费下载文档后,您只拥有了使用权限,并不意味着购买了版权,文档只能用于自身使用,不得用于其他商业用途(如 [转卖]进行直接盈利或[编辑后售卖]进行间接盈利)。
2、本站所有内容均由合作方或网友上传,本站不对文档的完整性、权威性及其观点立场正确性做任何保证或承诺!文档内容仅供研究参考,付费前请自行鉴别。
3、如文档内容存在违规,或者侵犯商业秘密、侵犯著作权等,请点击“违规举报”。

碎片内容

黑龙江省牡丹江管理局北斗星协会达标名校2024年中考一模数学试题含解析.doc

确认删除?