电脑桌面
添加内谋知识网--内谋文库,文书,范文下载到电脑桌面
安装后可以在桌面快捷访问

2024届上海理工大附中高三第三次测评数学试卷含解析.doc

2024届上海理工大附中高三第三次测评数学试卷含解析.doc_第1页
1/23
2024届上海理工大附中高三第三次测评数学试卷含解析.doc_第2页
2/23
2024届上海理工大附中高三第三次测评数学试卷含解析.doc_第3页
3/23
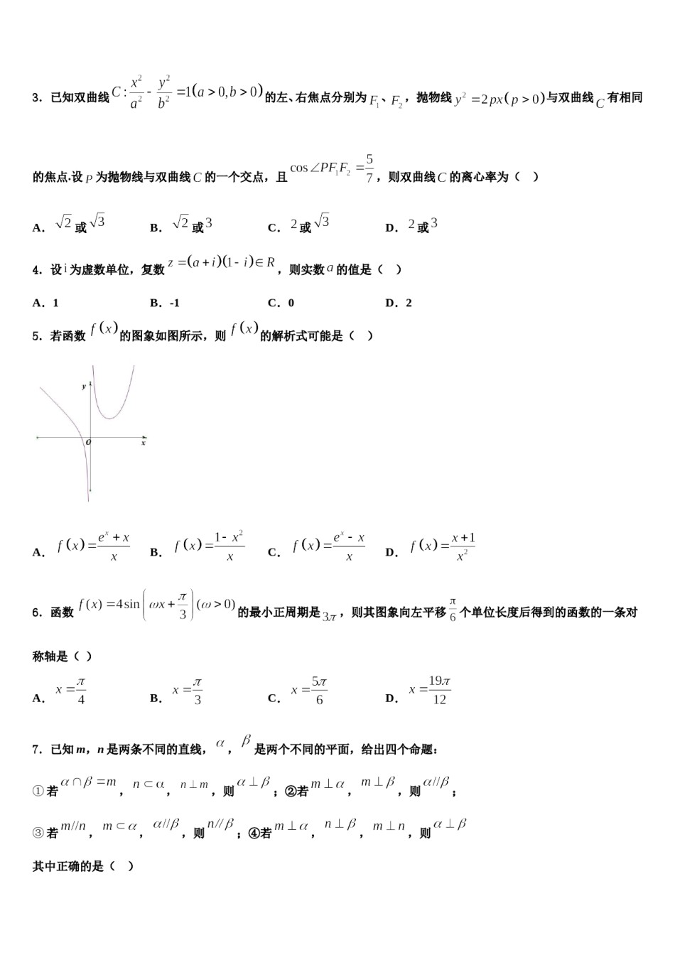
2024届上海理工大附中高三第三次测评数学试卷考生须知:1.全卷分选择题和非选择题两部分,全部在答题纸上作答。选择题必须用2B铅笔填涂;非选择题的答案必须用黑色字迹的钢笔或答字笔写在“答题纸”相应位置上。2.请用黑色字迹的钢笔或答字笔在“答题纸”上先填写姓名和准考证号。3.保持卡面清洁,不要折叠,不要弄破、弄皱,在草稿纸、试题卷上答题无效。一、选择题:本题共12小题,每小题5分,共60分。在每小题给出的四个选项中,只有一项是符合题目要求的。1.函数(其中是自然对数的底数)的大致图像为()A.B.C.D.2.下列说法正确的是()A.“若,则”的否命题是“若,则”B.“若,则”的逆命题为真命题C.,使成立D.“若,则”是真命题3.已知双曲线的左、右焦点分别为、,抛物线与双曲线有相同的焦点.设为抛物线与双曲线的一个交点,且,则双曲线的离心率为()A.或B.或C.或D.或4.设为虚数单位,复数,则实数的值是()A.1B.-1C.0D.25.若函数的图象如图所示,则的解析式可能是()A.B.C.D.6.函数的最小正周期是,则其图象向左平移个单位长度后得到的函数的一条对称轴是()A.B.C.D.7.已知m,n是两条不同的直线,,是两个不同的平面,给出四个命题:①若,,,则;②若,,则;③若,,,则;④若,,,则其中正确的是()A.①②B.③④C.①④D.②④8.将3个黑球3个白球和1个红球排成一排,各小球除了颜色以外其他属性均相同,则相同颜色的小球不相邻的排法共有()A.14种B.15种C.16种D.18种9.已知点,是函数的函数图像上的任意两点,且在点处的切线与直线AB平行,则()A.,b为任意非零实数B.,a为任意非零实数C.a、b均为任意实数D.不存在满足条件的实数a,b10.已知函数的图象与直线的相邻交点间的距离为,若定义,则函数,在区间内的图象是()A.B.C.D.11.设复数,则=()A.1B.C.D.12.棱长为2的正方体内有一个内切球,过正方体中两条异面直线,的中点作直线,则该直线被球面截在球内的线段的长为()A.B.C.D.1_____.二、填空题:本题共4小题,每小题5分,共20分。13.集合,,则14.点在双曲线的右支上,其左、右焦点分别为、,直线与以坐标原点为圆心、为半径的圆相切于点,线段的垂直平分线恰好过点,则该双曲线的渐近线的斜率为__________.15.已知,,是平面向量,是单位向量.若,,且,则的取值范围是________.16.设全集,,,则______.三、解答题:共70分。解答应写出文字说明、证明过程或演算步骤。17.(12分)已知椭圆的长轴长为,离心率(1)求椭圆的方程;(2)设分别为椭圆与轴正半轴和轴正半轴的交点,是椭圆上在第一象限的一点,直线与轴交于点,直线与轴交于点,问与面积之差是否为定值?说明理由.18.(12分)随着改革开放的不断深入,祖国不断富强,人民的生活水平逐步提高,为了进一步改善民生,2019年1月1日起我国实施了个人所得税的新政策,其政策的主要内容包括:(1)个税起征点为5000元;(2)每月应纳税所得额(含税)收入个税起征点专项附加扣除;(3)专项附加扣除包括①赡养老人费用②子女教育费用③继续教育费用④大病医疗费用等.其中前两项的扣除标准为:①赡养老人费用:每月扣除2000元②子女教育费用:每个子女每月扣除1000元.新个税政策的税率表部分内容如下:级数一级二级三级四级每月应纳税所不超过3000超过3000元超过12000元超过25000元得额(含税)元的部分至12000元的至25000元的至35000元的部分部分部分税率3102025(1)现有李某月收入29600元,膝下有一名子女,需要赡养老人,除此之外,无其它专项附加扣除.请问李某月应缴纳的个税金额为多少?(2)为研究月薪为20000元的群体的纳税情况,现收集了某城市500名的公司白领的相关资料,通过整理资料可知,有一个孩子的有400人,没有孩子的有100人,有一个孩子的人中有300人需要赡养老人,没有孩子的人中有50人需要赡养老人,并且他们均不符合其它专项附加扣除(受统计的500人中,任何两人均不在一个家庭).若他们的月收入均为20000元,依据样本估计总体的思想,试估计在新个税政策下这类人群缴纳个税金额的分布列与期望...

1、当您付费下载文档后,您只拥有了使用权限,并不意味着购买了版权,文档只能用于自身使用,不得用于其他商业用途(如 [转卖]进行直接盈利或[编辑后售卖]进行间接盈利)。
2、本站所有内容均由合作方或网友上传,本站不对文档的完整性、权威性及其观点立场正确性做任何保证或承诺!文档内容仅供研究参考,付费前请自行鉴别。
3、如文档内容存在违规,或者侵犯商业秘密、侵犯著作权等,请点击“违规举报”。

碎片内容

2024届上海理工大附中高三第三次测评数学试卷含解析.doc

您可能关注的文档

确认删除?