电脑桌面
添加内谋知识网--内谋文库,文书,范文下载到电脑桌面
安装后可以在桌面快捷访问

2024届内蒙古呼和浩特市土默特左旗第一中学高三一诊考试数学试卷含解析.doc

2024届内蒙古呼和浩特市土默特左旗第一中学高三一诊考试数学试卷含解析.doc_第1页
1/25
2024届内蒙古呼和浩特市土默特左旗第一中学高三一诊考试数学试卷含解析.doc_第2页
2/25
2024届内蒙古呼和浩特市土默特左旗第一中学高三一诊考试数学试卷含解析.doc_第3页
3/25
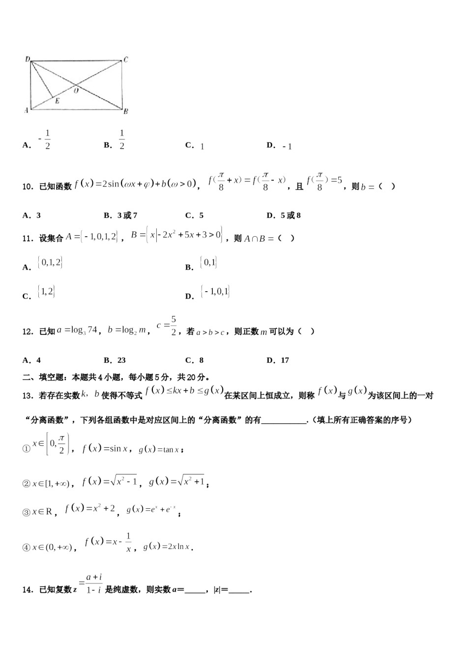
2024届内蒙古呼和浩特市土默特左旗第一中学高三一诊考试数学试卷注意事项1.考试结束后,请将本试卷和答题卡一并交回.2.答题前,请务必将自己的姓名、准考证号用0.5毫米黑色墨水的签字笔填写在试卷及答题卡的规定位置.3.请认真核对监考员在答题卡上所粘贴的条形码上的姓名、准考证号与本人是否相符.4.作答选择题,必须用2B铅笔将答题卡上对应选项的方框涂满、涂黑;如需改动,请用橡皮擦干净后,再选涂其他答案.作答非选择题,必须用05毫米黑色墨水的签字笔在答题卡上的指定位置作答,在其他位置作答一律无效.5.如需作图,须用2B铅笔绘、写清楚,线条、符号等须加黑、加粗.一、选择题:本题共12小题,每小题5分,共60分。在每小题给出的四个选项中,只有一项是符合题目要求的。1.港珠澳大桥于2018年10月2刻日正式通车,它是中国境内一座连接香港、珠海和澳门的桥隧工程,桥隧全长55千米.桥面为双向六车道高速公路,大桥通行限速100km/h,现对大桥某路段上1000辆汽车的行驶速度进行抽样调查.画出频率分布直方图(如图),根据直方图估计在此路段上汽车行驶速度在区间[85,90)的车辆数和行驶速度超过90km/h的频率分别为()A.300,B.300,C.60,D.60,2.若函数在时取得最小值,则()A.B.C.D.3.某调查机构对全国互联网行业进行调查统计,得到整个互联网行业从业者年龄分布饼状图,90后从事互联网行业岗位分布条形图,则下列结论中不正确的是()注:90后指1990年及以后出生,80后指1980-1989年之间出生,80前指1979年及以前出生.A.互联网行业从业人员中90后占一半以上B.互联网行业中从事技术岗位的人数超过总人数的C.互联网行业中从事运营岗位的人数90后比80前多D.互联网行业中从事技术岗位的人数90后比80后多4.展开项中的常数项为A.1B.11C.-19D.515.函数的图象在点处的切线为,则在轴上的截距为()A.B.C.D.6.设,,则“”是“”的A.充分而不必要条件B.必要而不充分条件C.充要条件D.既不充分也不必要条件7.的展开式中,含项的系数为()A.B.C.D.8.已知等比数列满足,,则()A.B.C.D.9.如图所示,矩形的对角线相交于点,为的中点,若,则等于().A.B.C.D.10.已知函数,,且,则()A.3C.5D.5或811.设集合B.3或7A.,,则()C.B.D.12.已知,,,若,则正数可以为()A.4B.23C.8D.17二、填空题:本题共4小题,每小题5分,共20分。13.若存在实数使得不等式在某区间上恒成立,则称与为该区间上的一对“分离函数”,下列各组函数中是对应区间上的“分离函数”的有___________.(填上所有正确答案的序号)①,,;②,,;,;③,④,,.14.已知复数z是纯虚数,则实数a=_____,z=_____.15.已知无盖的圆柱形桶的容积是立方米,用来做桶底和侧面的材料每平方米的价格分别为30元和20元,那么圆桶造价最低为________元.16.已知点是椭圆上一点,过点的一条直线与圆相交于两点,若存在点,使得,则椭圆的离心率取值范围为_________.三、解答题:共70分。解答应写出文字说明、证明过程或演算步骤。17.(12分)如图,在四面体中,.(1)求证:平面平面;(2)若,求四面体的体积.18.(12分)如图,四棱锥中,底面为直角梯形,∥,为等边三角形,平面底面,为的中点.(1)求证:平面平面;,求平面(2)点在线段上,且与平面所成的锐二面角的余弦值.19.(12分)在①,②,③这三个条件中任选一个,补充在下面问题中,求的面积的值(或最大值).已知的内角,,所对的边分别为,,,三边,,与面积满足关系式:,且,求的面积的值(或最大值).20.(12分)已知椭圆的离心率为是椭圆的一个焦点,点,直线的?若存斜率为1.(1)求椭圆的方程;(1)若过点的直线与椭圆交于两点,线段的中点为,是否存在直线使得在,求出的方程;若不存在,请说明理由.21.(12分)已知函数(1)讨论的单调性;(2)当时,,求的取值范围.22.(10分)健身馆某项目收费标准为每次60元,现推出会员优惠活动:具体收费标准如下:现随机抽取了100为会员统计它们的消费次数,得到数据如下:假设该项目的成本为每次30元,根据给...

1、当您付费下载文档后,您只拥有了使用权限,并不意味着购买了版权,文档只能用于自身使用,不得用于其他商业用途(如 [转卖]进行直接盈利或[编辑后售卖]进行间接盈利)。
2、本站所有内容均由合作方或网友上传,本站不对文档的完整性、权威性及其观点立场正确性做任何保证或承诺!文档内容仅供研究参考,付费前请自行鉴别。
3、如文档内容存在违规,或者侵犯商业秘密、侵犯著作权等,请点击“违规举报”。

碎片内容

2024届内蒙古呼和浩特市土默特左旗第一中学高三一诊考试数学试卷含解析.doc

您可能关注的文档

确认删除?