电脑桌面
添加内谋知识网--内谋文库,文书,范文下载到电脑桌面
安装后可以在桌面快捷访问

2024届浙江省台州市书生中学高三考前热身数学试卷含解析.doc

2024届浙江省台州市书生中学高三考前热身数学试卷含解析.doc_第1页
1/19
2024届浙江省台州市书生中学高三考前热身数学试卷含解析.doc_第2页
2/19
2024届浙江省台州市书生中学高三考前热身数学试卷含解析.doc_第3页
3/19
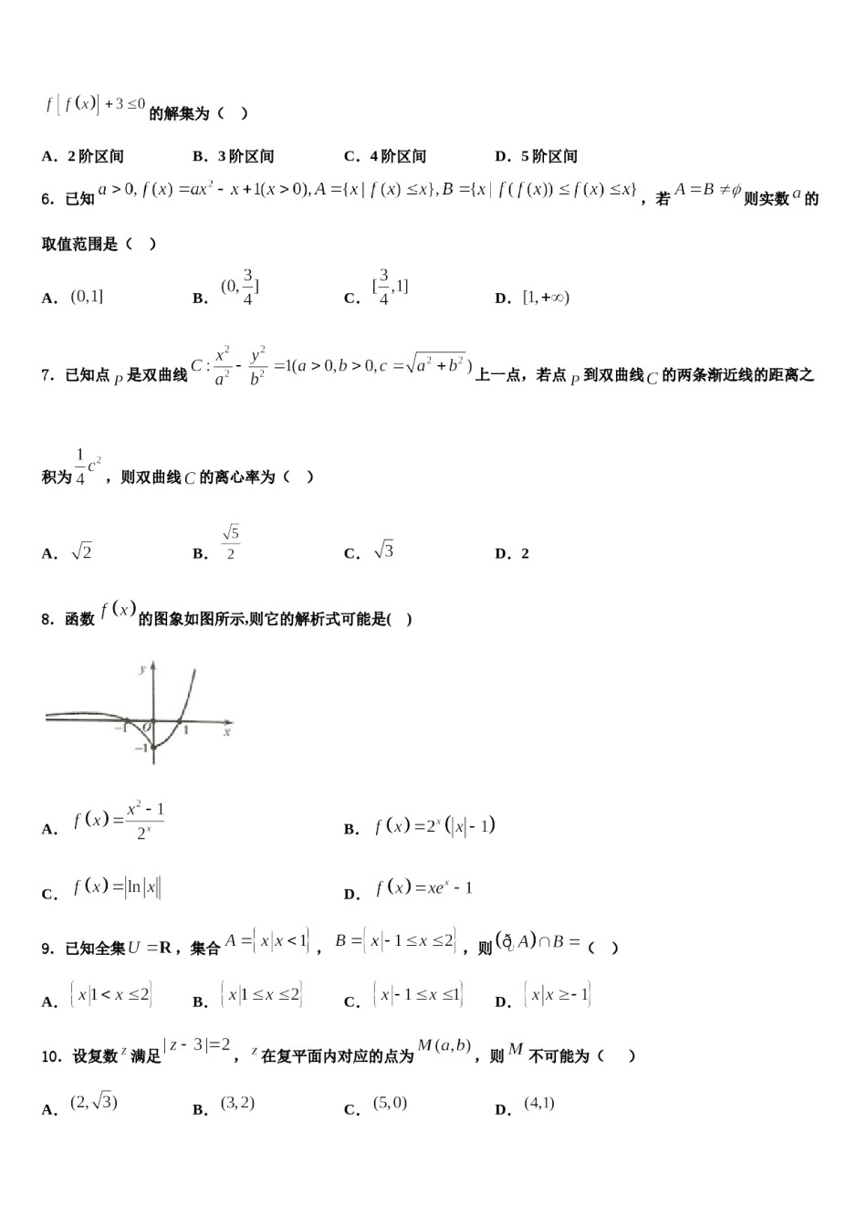
2024届浙江省台州市书生中学高三考前热身数学试卷考生须知:1.全卷分选择题和非选择题两部分,全部在答题纸上作答。选择题必须用2B铅笔填涂;非选择题的答案必须用黑色字迹的钢笔或答字笔写在“答题纸”相应位置上。2.请用黑色字迹的钢笔或答字笔在“答题纸”上先填写姓名和准考证号。3.保持卡面清洁,不要折叠,不要弄破、弄皱,在草稿纸、试题卷上答题无效。一、选择题:本题共12小题,每小题5分,共60分。在每小题给出的四个选项中,只有一项是符合题目要求的。1.将函数的图象沿轴向左平移个单位长度后,得到函数的图象,则“”是“是偶函数”的()A.充分不必要条件B.必要不充分条件C.充分必要条件D.既不充分也不必要条件2.已知向量,且,则等于()A.4B.3C.2D.13.将函数图象上所有点向左平移个单位长度后得到函数的图象,如果在区间上单调递减,那么实数的最大值为()A.B.C.D.4.函数的图象向右平移个单位得到函数的图象,并且函数在区间上单调递增,在区间上单调递减,则实数的值为()A.B.C.2D.5.记个两两无交集的区间的并集为阶区间如为2阶区间,设函数,则不等式的解集为()A.2阶区间B.3阶区间C.4阶区间D.5阶区间,若6.已知则实数的取值范围是()A.B.C.D.7.已知点是双曲线上一点,若点到双曲线的两条渐近线的距离之积为,则双曲线的离心率为()A.B.C.D.28.函数的图象如图所示,则它的解析式可能是()A.B.C.D.9.已知全集,集合,,则()A.B.C.D.10.设复数满足,在复平面内对应的点为,则不可能为()A.B.C.D.11.给出以下四个命题:①依次首尾相接的四条线段必共面;②过不在同一条直线上的三点,有且只有一个平面;③空间中如果一个角的两边与另一个角的两边分别平行,那么这两个角必相等;④垂直于同一直线的两条直线必平行.其中正确命题的个数是()A.0B.1C.2D.312.羽毛球混合双打比赛每队由一男一女两名运动员组成.某班级从名男生,,和名女生,,中各随机选出两名,把选出的人随机分成两队进行羽毛球混合双打比赛,则和两人组成一队参加比赛的概率为()A.B.C.D.二、填空题:本题共4小题,每小题5分,共20分。13.已知双曲线C:()的左、右焦点为,,为双曲线C上一点,且,若线段与双曲线C交于另一点A,则的面积为______.14.在一块土地上种植某种农作物,连续5年的产量(单位:吨)分别为9.4,9.7,9.8,10.3,10.8.则该农作物的年平均产量是______吨.15.若,,则___________.16.如果椭圆的对称轴为坐标轴,短轴的一个端点与两焦点组成一正三角形,焦点在x轴上,且=,那么椭圆的方程是.三、解答题:共70分。解答应写出文字说明、证明过程或演算步骤。17.(12分)已知是等差数列,满足,,数列满足,,且是等比数列.(1)求数列和的通项公式;(2)求数列的前项和.18.(12分)已知是公比为的无穷等比数列,其前项和为,满足,________.是否存在正整数,使得?若存在,求的最小值;若不存在,说明理由.从①,②,③这三个条件中任选一个,补充在上面问题中并作答.19.(12分)已知,,求证:(1);(2).20.(12分)已知数列满足,.(1)求数列的通项公式;(2)若,求数列的前项和.21.(12分)已知的内角,,的对边分别为,,,且.(1)求;(2)若的面积为,,求的周长.22.(10分)已知函数(I)当时,解不等式.(II)若不等式恒成立,求实数的取值范围参考答案一、选择题:本题共12小题,每小题5分,共60分。在每小题给出的四个选项中,只有一项是符合题目要求的。1、A【解析】求出函数的解析式,由函数为偶函数得出的表达式,然后利用充分条件和必要条件的定义判断即可.【详解】将函数的图象沿轴向左平移个单位长度,得到的图象对应函数的解析式为,若函数为偶函数,则,解得,当时,.因此,“”是“是偶函数”的充分不必要条件.故选:A.【点睛】本题考查充分不必要条件的判断,同时也考查了利用图象变换求三角函数解析式以及利用三角函数的奇偶性求参数,考查运算求解能力与推理能力,属于中等题.2、D【解析】由已知结合向量垂直的坐标表示即可求解.【详解】因为,且,,则.故...

1、当您付费下载文档后,您只拥有了使用权限,并不意味着购买了版权,文档只能用于自身使用,不得用于其他商业用途(如 [转卖]进行直接盈利或[编辑后售卖]进行间接盈利)。
2、本站所有内容均由合作方或网友上传,本站不对文档的完整性、权威性及其观点立场正确性做任何保证或承诺!文档内容仅供研究参考,付费前请自行鉴别。
3、如文档内容存在违规,或者侵犯商业秘密、侵犯著作权等,请点击“违规举报”。

碎片内容

2024届浙江省台州市书生中学高三考前热身数学试卷含解析.doc

您可能关注的文档

确认删除?