电脑桌面
添加内谋知识网--内谋文库,文书,范文下载到电脑桌面
安装后可以在桌面快捷访问

江苏省前黄高级中学2023-2024学年高三最后一卷数学试卷含解析.doc

江苏省前黄高级中学2023-2024学年高三最后一卷数学试卷含解析.doc_第1页
1/24
江苏省前黄高级中学2023-2024学年高三最后一卷数学试卷含解析.doc_第2页
2/24
江苏省前黄高级中学2023-2024学年高三最后一卷数学试卷含解析.doc_第3页
3/24
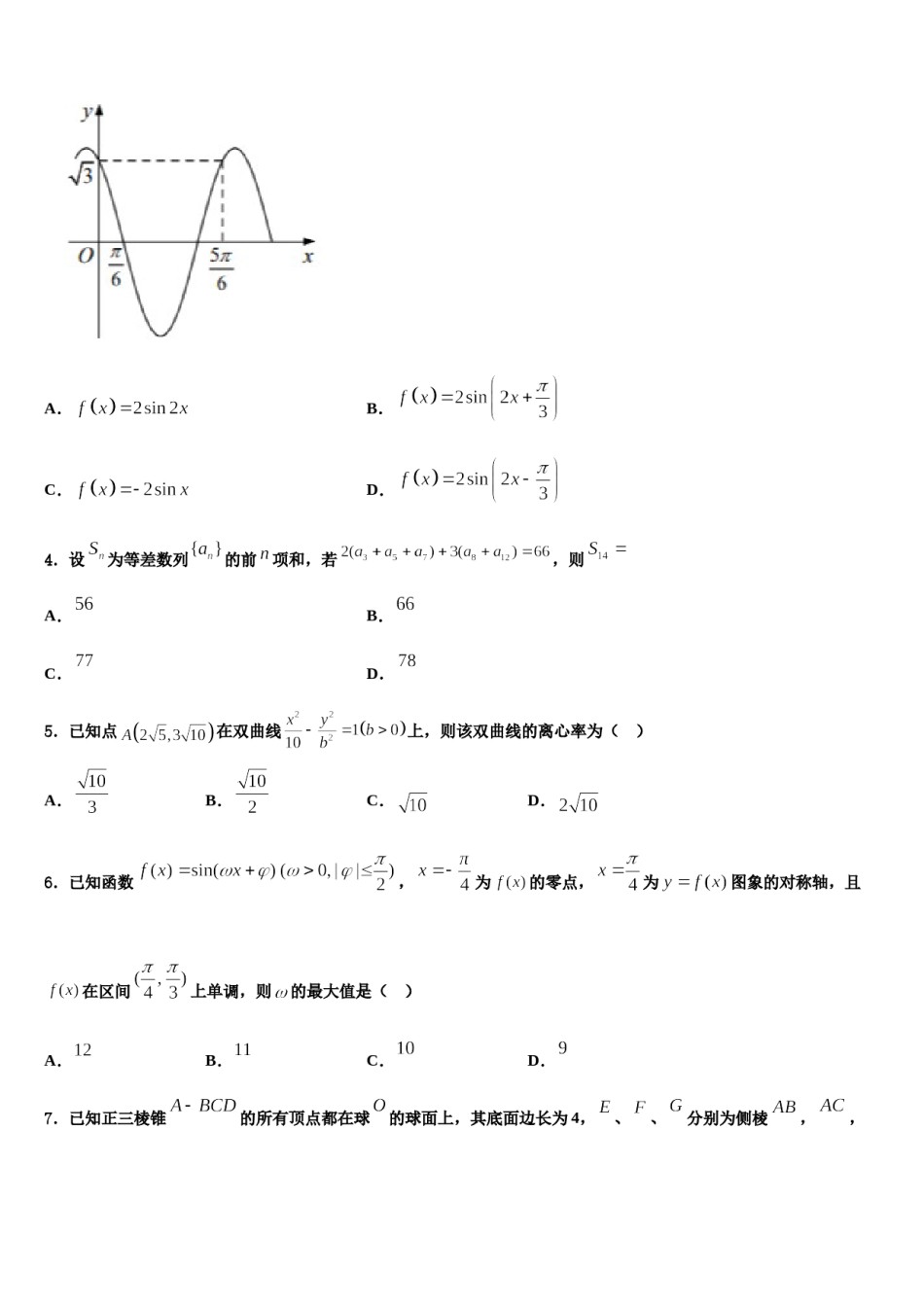
江苏省前黄高级中学2023-2024学年高三最后一卷数学试卷考生须知:1.全卷分选择题和非选择题两部分,全部在答题纸上作答。选择题必须用2B铅笔填涂;非选择题的答案必须用黑色字迹的钢笔或答字笔写在“答题纸”相应位置上。2.请用黑色字迹的钢笔或答字笔在“答题纸”上先填写姓名和准考证号。3.保持卡面清洁,不要折叠,不要弄破、弄皱,在草稿纸、试题卷上答题无效。一、选择题:本题共12小题,每小题5分,共60分。在每小题给出的四个选项中,只有一项是符合题目要求的。1.设,,则()A.B.C.D.2.函数的图象如图所示,则它的解析式可能是()A.B.,函数C.D.3.函数的部分图象如图所示,已知的图象可由图象向右平移个单位长度而得到,则函数的解析式为()A.B.C.D.4.设为等差数列的前项和,若,则A.B.C.D.5.已知点在双曲线上,则该双曲线的离心率为()A.B.C.D.6.已知函数,为的零点,为图象的对称轴,且在区间上单调,则的最大值是()A.B.C.D.7.已知正三棱锥的所有顶点都在球的球面上,其底面边长为4,、、分别为侧棱,,的中点.若在三棱锥内,且三棱锥的体积是三棱锥体积的4倍,则此外接球的体积与三棱锥体积的比值为()A.B.C.D.8.已知正项等比数列中,存在两项,使得,,则的最小值是()A.B.C.D.9.设为虚数单位,复数,则实数的值是()A.1B.-1C.0D.210.要得到函数的图象,只需将函数的图象上所有点的()A.横坐标缩短到原来的(纵坐标不变),再向左平移个单位长度B.横坐标缩短到原来的(纵坐标不变),再向右平移个单位长度C.横坐标伸长到原来的2倍(纵坐标不变),再向左平移个单位长度D.横坐标伸长到原来的2倍(纵坐标不变),再向右平移个单位长度11.已知复数,满足,则()A.1B.C.D.512.已知函数,若函数有三个零点,则实数的取值范围是()A.B.C.D.二、填空题:本题共4小题,每小题5分,共20分。13.已知数列满足对任意,,则数列的通项公式__________.14.设集合,(其中e是自然对数的底数),且,则满足条件的实数a的个数为__的解集为__________.____.15.设定义域为的函数满足,则不等式16.已知,,,则的最小值是__.三、解答题:共70分。解答应写出文字说明、证明过程或演算步骤。17.(12分)已知a>0,证明:1.18.(12分)(本小题满分12分)已知椭圆C:的离心率为,连接椭圆四个顶点形成的四边形面积为4.O为坐标原点,(1)求椭圆C的标准方程;(2)过点A(1,0)的直线与椭圆C交于点M,N,设P为椭圆上一点,且当时,求t的取值范围.19.(12分)平面直角坐标系中,曲线的参数方程为(为参数),以原点为极点,轴的非负半轴为极轴,取相同的单位长度建立极坐标系,曲线的极坐标方程为,直线的极坐标方程为,点.(1)求曲线的极坐标方程与直线的直角坐标方程;(2)若直线与曲线交于点,曲线与曲线交于点,求的面积.20.(12分)如图,平面四边形为直角梯形,,,,将绕着翻折到.(1)为上一点,且,当平面时,求实数的值;(2)当平面与平面所成的锐二面角大小为时,求与平面所成角的正弦.21.(12分)已知直线的参数方程为(为参数),以坐标原点为极点,轴的非负半轴为极轴且取相同的单位长度建立极坐标系,曲线的极坐标方程为.(1)求直线的普通方程及曲线的直角坐标方程;的值.分别是(2)设点,直线与曲线交于两点,求22.(10分)如图,在直三棱柱中,中点,且,.求证:平面;求点到平面的距离.参考答案一、选择题:本题共12小题,每小题5分,共60分。在每小题给出的四个选项中,只有一项是符合题目要求的。1、D【解析】集合是一次不等式的解集,分别求出再求交集即可【详解】,,则故选【点睛】本题主要考查了一次不等式的解集以及集合的交集运算,属于基础题.2、B【解析】根据定义域排除,求出的值,可以排除,考虑排除.【详解】根据函数图象得定义域为,所以不合题意;选项,计算,不符合函数图象;对于选项,与函数图象不一致;选项符合函数图象特征.故选:B【点睛】此题考查根据函数图象选择合适的解析式,主要利用函数性质分析,常见方法为排除法.3、A【解析】由图根据三角函数...

1、当您付费下载文档后,您只拥有了使用权限,并不意味着购买了版权,文档只能用于自身使用,不得用于其他商业用途(如 [转卖]进行直接盈利或[编辑后售卖]进行间接盈利)。
2、本站所有内容均由合作方或网友上传,本站不对文档的完整性、权威性及其观点立场正确性做任何保证或承诺!文档内容仅供研究参考,付费前请自行鉴别。
3、如文档内容存在违规,或者侵犯商业秘密、侵犯著作权等,请点击“违规举报”。

碎片内容

江苏省前黄高级中学2023-2024学年高三最后一卷数学试卷含解析.doc

您可能关注的文档

确认删除?