电脑桌面
添加内谋知识网--内谋文库,文书,范文下载到电脑桌面
安装后可以在桌面快捷访问

河南省周口市川汇区2023-2024学年高三最后一卷数学试卷含解析.doc

河南省周口市川汇区2023-2024学年高三最后一卷数学试卷含解析.doc_第1页
1/20
河南省周口市川汇区2023-2024学年高三最后一卷数学试卷含解析.doc_第2页
2/20
河南省周口市川汇区2023-2024学年高三最后一卷数学试卷含解析.doc_第3页
3/20
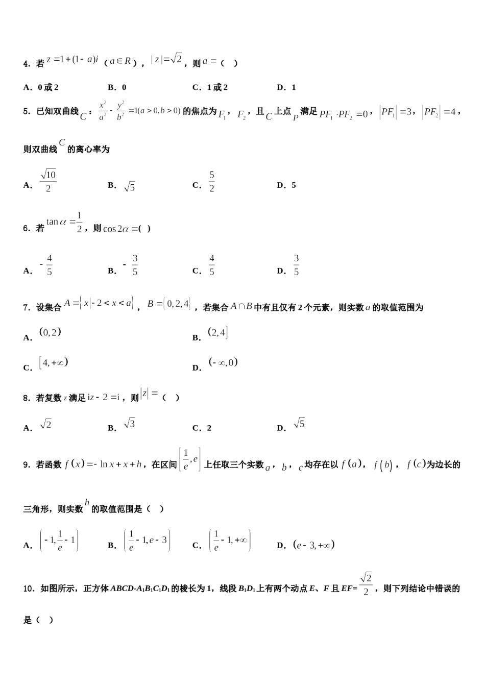
河南省周口市川汇区2023-2024学年高三最后一卷数学试卷考生须知:1.全卷分选择题和非选择题两部分,全部在答题纸上作答。选择题必须用2B铅笔填涂;非选择题的答案必须用黑色字迹的钢笔或答字笔写在“答题纸”相应位置上。2.请用黑色字迹的钢笔或答字笔在“答题纸”上先填写姓名和准考证号。3.保持卡面清洁,不要折叠,不要弄破、弄皱,在草稿纸、试题卷上答题无效。一、选择题:本题共12小题,每小题5分,共60分。在每小题给出的四个选项中,只有一项是符合题目要求的。1.函数的部分图象如图中实线所示,图中圆与的图象交于两点,且在轴上,则下列说法中正确的是A.函数的最小正周期是B.函数的图象关于点成中心对称C.函数在单调递增D.函数的图象向右平移后关于原点成中心对称2.下列函数中既关于直线对称,又在区间上为增函数的是()A..B.C.D.3.“”是“直线与互相平行”的()A.充分不必要条件B.必要不充分条件C.充要条件D.既不充分也不必要条件4.若(),,则()A.0或2B.0C.1或2D.15.已知双曲线:的焦点为,,且上点满足,,,则双曲线的离心率为A.B.C.D.56.若,则()A.B.C.D.7.设集合,,若集合中有且仅有2个元素,则实数的取值范围为A.D.C.B.8.若复数满足A.D.,则()B.C.29.若函数,在区间上任取三个实数,,均存在以,,为边长的三角形,则实数的取值范围是()A.B.C.D.10.如图所示,正方体ABCD-A1B1C1D1的棱长为1,线段B1D1上有两个动点E、F且EF=,则下列结论中错误的是()A.AC⊥BEB.EF平面ABCDC.三棱锥A-BEF的体积为定值D.异面直线AE,BF所成的角为定值11.若复数满足(为虚数单位),则其共轭复数的虚部为()A.B.C.D.12.如图,矩形ABCD中,,,E是AD的中点,将沿BE折起至,记二面角的平面角为,直线与平面BCDE所成的角为,与BC所成的角为,有如下两个命题:①对满足题意的任意的的位置,;②对满足题意的任意的的位置,,则()A.命题①和命题②都成立B.命题①和命题②都不成立C.命题①成立,命题②不成立D.命题①不成立,命题②成立二、填空题:本题共4小题,每小题5分,共20分。13.已知双曲线的右准线与渐近线的交点在抛物线上,则实数的值为___________.14.下图是一个算法流程图,则输出的的值为__________.15.若函数为奇函数,则_______.16.一个四面体的顶点在空间直角坐标系中的坐标分别是,,,,则该四面体的外接球的体积为__________.三、解答题:共70分。解答应写出文字说明、证明过程或演算步骤。17.(12分)在中,角的对边分别为,且,.(1)求的值;(2)若求的面积.18.(12分)在直角坐标系中,直线的参数方程为(为参数,).在以为极点,轴正半轴为极轴的极坐标中,曲线:.(1)当时,求与的交点的极坐标;(2)直线与曲线交于,两点,线段中点为,求的值.19.(12分)已知函数.(1)若在上是减函数,求实数的最大值;(2)若,求证:.20.(12分)如图,内接于圆O,AB是圆O的直径,四边形DCBE为平行四边形,平面ABC,,.(1)求证:平面ACD;(2)设,表示三棱锥B-ACE的体积,求函数的解析式及最大值.21.(12分)已知直线的参数方程为(,为参数),曲线的极坐标方程为.(1)将曲线的极坐标方程化为直角坐标方程,并说明曲线的形状;(2)若直线经过点,求直线被曲线截得的线段的长.22.(10分)已知直线的参数方程为(为参数),以坐标原点为极点,轴的正半轴为极轴建立极坐标系,曲线的极坐标方程为.(1)求直线的普通方程和曲线的直角坐标方程;(2)设点,直线与曲线交于,两点,求的值.参考答案一、选择题:本题共12小题,每小题5分,共60分。在每小题给出的四个选项中,只有一项是符合题目要求的。1、B【解析】根据函数的图象,求得函数,再根据正弦型函数的性质,即可求解,得到答案.【详解】根据给定函数的图象,可得点的横坐标为,所以,解得,所以的最小正周期,不妨令,,由周期,所以,又,所以,所以,令,解得,当时,,即函数的一个对称中心为,即函数的图象关于点成中心对称.故选B.【点睛】本题主要考查了由三角函数的图象求解函数的解析式,以及三角函数的图象与...

1、当您付费下载文档后,您只拥有了使用权限,并不意味着购买了版权,文档只能用于自身使用,不得用于其他商业用途(如 [转卖]进行直接盈利或[编辑后售卖]进行间接盈利)。
2、本站所有内容均由合作方或网友上传,本站不对文档的完整性、权威性及其观点立场正确性做任何保证或承诺!文档内容仅供研究参考,付费前请自行鉴别。
3、如文档内容存在违规,或者侵犯商业秘密、侵犯著作权等,请点击“违规举报”。

碎片内容

河南省周口市川汇区2023-2024学年高三最后一卷数学试卷含解析.doc

您可能关注的文档

确认删除?